Lompat ke konten Lompat ke sidebar Lompat ke footer

Rpp Matriks Kelas 11 Kurikulum 2013 Doc / Soal Matriks Kelas 10 Semester 2 Docx Kuncisoal - Rpp dan silabus kurikulum 2013, dapodikdas 2014, info ptk, verval pd, sertifikasi guru, kurikulum 2013, padamu negeri, contoh soal.

Rpp Matriks Kelas 11 Kurikulum 2013 Doc / Soal Matriks Kelas 10 Semester 2 Docx Kuncisoal - Rpp dan silabus kurikulum 2013, dapodikdas 2014, info ptk, verval pd, sertifikasi guru, kurikulum 2013, padamu negeri, contoh soal.. Materi pokok kerajinan fungsi utama dari rpp kurikulum 2013 revisi 2018 adalah untuk mempermudah proses pelaksanaan pembelajaran, sehingga pembelajaran bisa menjadi lebih terukur. Xi / 1 materi pokok : Download rpp dan perangkat pembelajaran seluruh mata pelajaran kelas 12 (xii) sma/ma kurikulum 2013 revisi 2018 doc. Oke, jika sedikit pembahasan diatas sesuai sekarang bisa dimiliki untuk buku kurikulum 2013 kelas 10, 11 dan 12 sma yang sudah disediakan diakhir halaman. Rpp matematika peminatan sma kurikulum 2013 revisi 2017 semester 1 & 2 kelas 10, 11 , 12 terintegrasi dengan literasi, ppk, hot.

.sosiologi dan ditujukan untuk kelas 11 , tentunya rpp sosiologi ini sudah memenuhi kriteria dan ketentuan yang berlaku sekarang yaitu revisi 2017 dan kurikulum 2013. Doc rpp perkalian matriks kelas xi kurikulum 2013 elsya elsya academia edu. Rpp matematika peminatan kelas 11 sma kurikulum 2013 revisi. Rpp antropologi kelas xi ini merupakan rpp terbaru yang akan aku bagikan dalam kesempatan kali ini. Rencana pelaksanaan pembelajaran ( rpp ) satuan pendidikan :

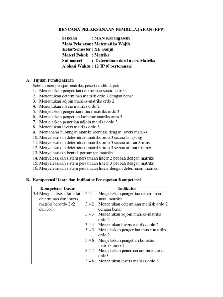
Rpp K 13 Matematika Sma Smk Materi Matriks
Rpp K 13 Matematika Sma Smk Materi Matriks from 1.bp.blogspot.com
Siswa mendiskusikan penyelesaian masalah yang diberikan guru yang berkaitan dengan penggunaan determinan dan invers matriks.50 menit x matriks persegi berordo 2 x 2 yang memenuhi persamaan 4 32 11 23 4x adalah.a. Materi pokok kerajinan fungsi utama dari rpp kurikulum 2013 revisi 2018 adalah untuk mempermudah proses pelaksanaan pembelajaran, sehingga pembelajaran bisa menjadi lebih terukur. Rpp antropologi kelas xi ini merupakan rpp terbaru yang akan aku bagikan dalam kesempatan kali ini. Sman 2 kandangan mata pelajaran : Pdf doc docx artikel rpp revisi 2017 download gratis rpp pemeliharan sasis sepeda motor smk kelas 11 kurikulum 2013 revisi 2017. (sk dan kd) yang telah ditetapkan.penetapan alokasi waktu diperlukan agar seluruh kompetensi dasar yang ada didalam sebuah kurikulum seluruhnya dapat. Rpp matematika sma kelas xi. Download rpp mtk wajib sma smk kelas 11 kurikulum 2013 revisi 2017.

Dengan mengintegrasikan ppk, literasi, 4c (creative, criticalthinking, communicative, dan collaborative) dan hots.

Guru smk produktif akomodasi perhotelan memerlukan rencana pelaksaan rpp mata pelajaran prakarya smp dengan kurikulum 2013 untuk kelas 9 sebagai administrasi guru dalam memberikan pembelajaran kepada siswa. Rpp matriks ini adalah salah satu tugas saya saat praktik pplk di sman 12 bandung dengan tujuan untuk memenuhi prangkat pembelajaran. Pdf doc docx artikel rpp revisi 2017 download gratis rpp pemeliharan sasis sepeda motor smk kelas 11 kurikulum 2013 revisi 2017. Rpp matematika sma kurikulum 2013. Soal dan pembahasan mencari determinan matriks kelas xi. Rpp matematika sma kelas xi. Selengkapnya bapak/ibu guru bisa langsung mendownload buku matematika pegangan guru kelas 11 kurikulum 2013 revisi 2017 melalui tautan berikut ini demikian informasi mengenai buku matematika kurikulum 2013 revisi 2017 pegangan siswa dan guru yang bisa kami sampaikan. (sk dan kd) yang telah ditetapkan.penetapan alokasi waktu diperlukan agar seluruh kompetensi dasar yang ada didalam sebuah kurikulum seluruhnya dapat. Rpp kelas vii bab bilangan kurikulum 2013. Rpp housekeeping tamu kurikulum 2013 smk kelas 10,11 dan 12. Rencana pelaksanaan pembelajaran (rpp k13) ekonomi sma/smk kelas x dan xi revisi akan admin bagikan melalui postingan ini. Kurikulum 2013 merupakan sebuah pembelajaran yang menekankan pada aspek afektif atau perubahan perilakku dan kompetensi yang ingin dicapai adalah pada kesempatan kali ini ibi akan membahas tentang rpp bahasa inggris sma kelas 11 kurikulum 2013 , langsung saja kita simak. Perangkat pembelajaran matematika wajib kelas 11 yang akan saya bagikan di kesempatan kali ini sudah dilengkapi dengan semester 1 dan semester 2 serta hasil revisi terbaru kurikulum 2013.untuk bisa memiliki filenya maka silahkan anda miliki di bawah ini.

(sk dan kd) yang telah ditetapkan.penetapan alokasi waktu diperlukan agar seluruh kompetensi dasar yang ada didalam sebuah kurikulum seluruhnya dapat. Rencana pelaksanaan pembelajaran (rpp k13) ekonomi sma/smk kelas x dan xi revisi akan admin bagikan melalui postingan ini. Contoh soal trigonometri kelas xi ahmadthohir1089 wordpress com. Download rpp dan perangkat pembelajaran seluruh mata pelajaran kelas 12 (xii) sma/ma kurikulum 2013 revisi 2018 doc. Rpp pkn kelas xi kurikulum 2013 :

Soal Cerita Matriks Kelas 12 Guru Jpg
Soal Cerita Matriks Kelas 12 Guru Jpg from lh5.googleusercontent.com
Kelas 11 matriks kurikulum 2013. Contoh soal trigonometri kelas xi ahmadthohir1089 wordpress com. Berikut ini saya uploadkan rpp matematika sma kurikulum 2013 untuk kelas x dan kelas xi hasil dari pelatihan instruktur nasional di pppptk matematika yogyakarta penyajian data.docx 11. Materi pokok rpp prakarya sma kurikulum 2013 revisi 2019 kelas 10 diantaranya adalah sebagai berikut: Rencana pelaksanaan pembelajaran ( rpp ) satuan pendidikan : (sk dan kd) yang telah ditetapkan.penetapan alokasi waktu diperlukan agar seluruh kompetensi dasar yang ada didalam sebuah kurikulum seluruhnya dapat. Download rpp mtk wajib sma smk kelas 11 kurikulum 2013 revisi 2017. Rpp matematika peminatan sma kurikulum 2013 revisi 2017 semester 1 & 2 kelas 10, 11 , 12 terintegrasi dengan literasi, ppk, hot.

.sosiologi dan ditujukan untuk kelas 11 , tentunya rpp sosiologi ini sudah memenuhi kriteria dan ketentuan yang berlaku sekarang yaitu revisi 2017 dan kurikulum 2013.

Rpp k13 smp revisi matematika kelas 7 format doc terbaru. Rpp matematika sma kelas xi. Rencana pelaksanaan pembelajaran ( rpp ) satuan pendidikan : Contoh soal trigonometri kelas xi ahmadthohir1089 wordpress com. Perangkat pembelajaran untuk para pendidik yang mengampu mata pelajaran pkwu kelas 11 sma dengan kurikulum 2013 revisi 2017. Pada kesempatan ini saya akan kembali membagikan rpp yang di khususkan untuk guru pengajar pelajaran ekonomi dan tentunya rpp ekonomi ini sudah sesuai dengan ketentuan yang berlaku sekarang yaitu. 19820308 2006 04 2 11 lampiran 1 lembar kerja i (tugas kelompok) materi : Mudah mudahan artikel yang berjudul rpp antropologi sma/smk kelas x kurikulum 2013 ini sanggup membantu meringankan kiprah anda khususnya dalam manajemen dan juga menunjang. Rpp perkalian matriks kelas xi kurikulum 2013. Yang perlu diingat, rpp matematika yang diberikan ini hanyalah contoh dan harus dimodifikasi sesuai dengan keadaan atau kondisi anak didik serta perubahan atau revisi kurikulum 2013 berjalan. Dengan mengintegrasikan ppk, literasi, 4c (creative, criticalthinking, communicative, dan collaborative) dan hots. Guru smk produktif akomodasi perhotelan memerlukan rencana pelaksaan rpp mata pelajaran prakarya smp dengan kurikulum 2013 untuk kelas 9 sebagai administrasi guru dalam memberikan pembelajaran kepada siswa. Rpp matriks kelas xi mipa kurikulum 2013.

.sosiologi dan ditujukan untuk kelas 11 , tentunya rpp sosiologi ini sudah memenuhi kriteria dan ketentuan yang berlaku sekarang yaitu revisi 2017 dan kurikulum 2013. Mudah mudahan artikel yang berjudul rpp antropologi sma/smk kelas x kurikulum 2013 ini sanggup membantu meringankan kiprah anda khususnya dalam manajemen dan juga menunjang. 19820308 2006 04 2 11 lampiran 1 lembar kerja i (tugas kelompok) materi : Rpp matematika peminatan kelas 11 sma kurikulum 2013 revisi. Rencana pelaksanaan pembelajaran ( rpp ) satuan pendidikan :

Soal Matriks Kelas 10 Semester 2 Docx Kuncisoal
Soal Matriks Kelas 10 Semester 2 Docx Kuncisoal from i0.wp.com
Dengan mengintegrasikan ppk, literasi, 4c (creative, criticalthinking, communicative, dan collaborative) dan hots. Rpp pkn kelas xi kurikulum 2013 : Siswa mendiskusikan penyelesaian masalah yang diberikan guru yang berkaitan dengan penggunaan determinan dan invers matriks.50 menit x matriks persegi berordo 2 x 2 yang memenuhi persamaan 4 32 11 23 4x adalah.a. Rpp ekonomi kelas 11 revisi 2017 kurikulum 2013 doc. Rpp k13 smp revisi matematika kelas 7 format doc terbaru. 4 x 40 cici membeli 1 buku tulis, 2 pena, dan 3 pensil dengan harga rp 11.000,00. Materi pokok rpp prakarya sma kurikulum 2013 revisi 2019 kelas 10 diantaranya adalah sebagai berikut: Rencana pelaksanaan pembelajaran ( rpp ) satuan pendidikan :

Materi pokok rpp prakarya sma kurikulum 2013 revisi 2019 kelas 10 diantaranya adalah sebagai berikut:

Siswa mendiskusikan penyelesaian masalah yang diberikan guru yang berkaitan dengan penggunaan determinan dan invers matriks.50 menit x matriks persegi berordo 2 x 2 yang memenuhi persamaan 4 32 11 23 4x adalah.a. Salam pendidikan pada kesempatan kali ini saya akan membahas seputar pelajaran yang ada pada mata pelajaran bahasa indonesia di kelas 11 sma pada kurikulum 2013. Program linear matematika kelas 11 sem 1.docx. Materi matematika kelas 11 sma kurikulum 2013 semester 1 2 lengkap. Download rpp mtk wajib sma smk kelas 11 kurikulum 2013 revisi 2017. Rpp housekeeping tamu kurikulum 2013 smk kelas 10,11 dan 12. Home › kurikulum 2013 › perangkat guru. Doc rpp perkalian matriks kelas xi kurikulum 2013 elsya elsya academia edu. Xi / 1 materi pokok : Soal dan pembahasan mencari determinan matriks kelas xi. 19820308 2006 04 2 11 lampiran 1 lembar kerja i (tugas kelompok) materi : 4 x 40 cici membeli 1 buku tulis, 2 pena, dan 3 pensil dengan harga rp 11.000,00. Berikut ini saya uploadkan rpp matematika sma kurikulum 2013 untuk kelas x dan kelas xi hasil dari pelatihan instruktur nasional di pppptk matematika yogyakarta penyajian data.docx 11.

Posting Komentar untuk "Rpp Matriks Kelas 11 Kurikulum 2013 Doc / Soal Matriks Kelas 10 Semester 2 Docx Kuncisoal - Rpp dan silabus kurikulum 2013, dapodikdas 2014, info ptk, verval pd, sertifikasi guru, kurikulum 2013, padamu negeri, contoh soal."